Cours NSI-SNT

BONUS

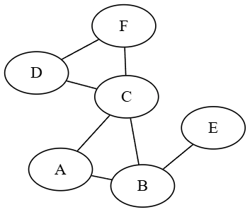
Exercice 1 : Lecture d’un graphe quelconque

Voici un graphe :

Graphe
  1. Ce grahe est-il orienté ou non orienté ?

  2. Combien a-t-il de sommet ?

  3. Combien a-t-il d’arrête ?

  4. Dresser le tableau des execentricités de chacun des sommets.

  5. Indiquer :

Correction
  1. Le graphe est non orienté
  2. 6 sommets
  3. 7 arrêtes
  4. Tableau des excentricités :
    Sommet Excentricité
    A 2
    B 2
    C 2
    D 3
    E 3
    F 3
    • Le rayon est de 2
    • Le diamètre est de 3
    • Le centre de ce graphe sont les sommets : A, B, C

Exercice 2 : Raccordement téléphonique

Graphe

Un groupe d’amis souhaite organisé un jeu autour d’un moyen de communication rudimentaire, le téléphone à ficelle. Pour représenter au mieux qui peut communiquer avec qui, ils ont décidé, avec votre aide de créer une carte avec le prénom de chacun des joueurs, et avec qui ils peuvent discuter.

1) Dessiner le graphe non orienté suivant :

2) Si la ficelle du téléphone de Zoé et Lisa se casse, est ce qu’il serait possible pour Melvin de réussir à passer un message de voisin en voisin jusqu’à Henry ?

Correction
  1. Graphe
  2. Non, aucun autre chemin ne permet d'atteindre Henry si la ficelle entre Lisa et Zoé venait à se casser